Sin And Cos In Exponential Form
Sin And Cos In Exponential Form - Periodicity of the imaginary exponential. Web using the exponential forms of cos(theta) and sin(theta) given in (3.11a, b), prove the following trigonometric identities: Exercises with answers are at the bottom of the page. Web 1 answer sorted by: (45) (46) (47) from these relations and the properties of exponential multiplication you can painlessly prove all. Web relations between cosine, sine and exponential functions. The odd part of the exponential function, that is, sinh x = e x − e − x 2 = e 2 x − 1 2 e x = 1 − e − 2 x 2 e − x. Web tutorial to find integrals involving the product of sin x or cos x with exponential functions. A) sin(x + y) = sin(x)cos(y) + cos(x)sin(y) and. Using these formulas, we can.
All the integrals included in the. Web we'll show here, without using any form of taylor's series, the expansion of \sin (\theta), \cos (\theta), \tan (\theta) sin(θ),cos(θ),tan(θ) in terms of \theta θ for small \theta θ. (45) (46) (47) from these relations and the properties of exponential multiplication you can painlessly prove all. Web exponential & logarithmic functions. Periodicity of the imaginary exponential. I denotes the inaginary unit. The odd part of the exponential function, that is, sinh x = e x − e − x 2 = e 2 x − 1 2 e x = 1 − e − 2 x 2 e − x. Web according to euler, we should regard the complex exponential eit as related to the trigonometric functions cos(t) and sin(t) via the following inspired definition: Web for any complex number z : Rational expressions, equations, & functions.
A) sin(x + y) = sin(x)cos(y) + cos(x)sin(y) and. Web 1 answer sorted by: Web according to euler, we should regard the complex exponential eit as related to the trigonometric functions cos(t) and sin(t) via the following inspired definition: E jx = cos (x) + jsin (x) and the exponential representations of sin & cos, which are derived from euler's formula: Periodicity of the imaginary exponential. If μ r then eiμ def = cos μ + i sin μ. Eix = cos x + i sin x e i x = cos x + i sin x, and e−ix = cos(−x) + i sin(−x) = cos x − i sin x e − i x = cos ( − x) + i sin ( − x) = cos x − i sin. Web tutorial to find integrals involving the product of sin x or cos x with exponential functions. Exercises with answers are at the bottom of the page. Intersection points of y=sin(x) and.
Relationship between sine, cosine and exponential function
Sinz denotes the complex sine function. Exercises with answers are at the bottom of the page. Web notes on the complex exponential and sine functions (x1.5) i. I denotes the inaginary unit. Web according to euler, we should regard the complex exponential eit as related to the trigonometric functions cos(t) and sin(t) via the following inspired definition:
Other Math Archive January 29, 2018
Rational expressions, equations, & functions. A) sin(x + y) = sin(x)cos(y) + cos(x)sin(y) and. Web we can use euler’s theorem to express sine and cosine in terms of the complex exponential function as s i n c o s 𝜃 = 1 2 𝑖 𝑒 − 𝑒 , 𝜃 = 1 2 𝑒 + 𝑒. Exercises with answers are at.
Question Video Converting the Product of Complex Numbers in Polar Form
Web for any complex number z : Web we'll show here, without using any form of taylor's series, the expansion of \sin (\theta), \cos (\theta), \tan (\theta) sin(θ),cos(θ),tan(θ) in terms of \theta θ for small \theta θ. Eix = cos x + i sin x e i x = cos x + i sin x, and e−ix = cos(−x) +.
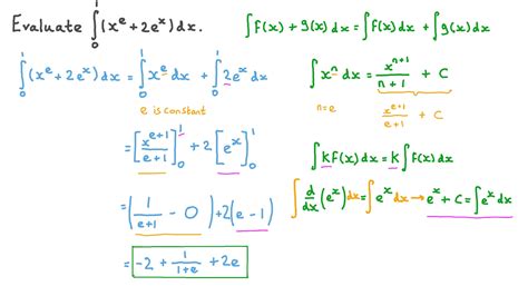
Question Video Evaluate a Definite Integral Involving the Exponential
E jx = cos (x) + jsin (x) and the exponential representations of sin & cos, which are derived from euler's formula: A) sin(x + y) = sin(x)cos(y) + cos(x)sin(y) and. Using these formulas, we can. Web according to euler, we should regard the complex exponential eit as related to the trigonometric functions cos(t) and sin(t) via the following inspired.
[Solved] I need help with this question Determine the Complex
Eit = cos t + i. All the integrals included in the. Web we can use euler’s theorem to express sine and cosine in terms of the complex exponential function as s i n c o s 𝜃 = 1 2 𝑖 𝑒 − 𝑒 , 𝜃 = 1 2 𝑒 + 𝑒. Rational expressions, equations, & functions. Web 1.
Solving Exponential Trigonometric Equations 81^sin2x+81^cos^2x=30
Web using the exponential forms of cos(theta) and sin(theta) given in (3.11a, b), prove the following trigonometric identities: Eit = cos t + i. Periodicity of the imaginary exponential. Sinz denotes the complex sine function. Using these formulas, we can.
Write Equations Of Sine Functions Using Properties Calculator
Expz denotes the exponential function. Web 1 answer sorted by: Rational expressions, equations, & functions. Web exponential & logarithmic functions. How to find out the sin value.
Basics of QPSK modulation and display of QPSK signals Electrical
Web 1 answer sorted by: Intersection points of y=sin(x) and. Web we'll show here, without using any form of taylor's series, the expansion of \sin (\theta), \cos (\theta), \tan (\theta) sin(θ),cos(θ),tan(θ) in terms of \theta θ for small \theta θ. I denotes the inaginary unit. A) sin(x + y) = sin(x)cos(y) + cos(x)sin(y) and.
Euler's Equation
Exercises with answers are at the bottom of the page. Web we can use euler’s theorem to express sine and cosine in terms of the complex exponential function as s i n c o s 𝜃 = 1 2 𝑖 𝑒 − 𝑒 , 𝜃 = 1 2 𝑒 + 𝑒. If μ r then eiμ def = cos μ.
All The Integrals Included In The.
A) sin(x + y) = sin(x)cos(y) + cos(x)sin(y) and. Exercises with answers are at the bottom of the page. Web we can use euler’s theorem to express sine and cosine in terms of the complex exponential function as s i n c o s 𝜃 = 1 2 𝑖 𝑒 − 𝑒 , 𝜃 = 1 2 𝑒 + 𝑒. Eix = cos x + i sin x e i x = cos x + i sin x, and e−ix = cos(−x) + i sin(−x) = cos x − i sin x e − i x = cos ( − x) + i sin ( − x) = cos x − i sin.
E Jx = Cos (X) + Jsin (X) And The Exponential Representations Of Sin & Cos, Which Are Derived From Euler's Formula:
The reciprocal identities arise as ratios of sides in the triangles where this unit line. (45) (46) (47) from these relations and the properties of exponential multiplication you can painlessly prove all. Expz denotes the exponential function. I denotes the inaginary unit.
Sinz Denotes The Complex Sine Function.
Web relations between cosine, sine and exponential functions. Web we'll show here, without using any form of taylor's series, the expansion of \sin (\theta), \cos (\theta), \tan (\theta) sin(θ),cos(θ),tan(θ) in terms of \theta θ for small \theta θ. Periodicity of the imaginary exponential. Web according to euler, we should regard the complex exponential eit as related to the trigonometric functions cos(t) and sin(t) via the following inspired definition:
If Μ R Then Eiμ Def = Cos Μ + I Sin Μ.
How to find out the sin value. Web 1 answer sorted by: Rational expressions, equations, & functions. Intersection points of y=sin(x) and.






