How To Form A Partnership In Texas
How To Form A Partnership In Texas - For a limited partnership, any general partner may sign. Web texas medicaid & healthcare partnership (tmhp) updated the electronic visit verification portal and added training materials on july 13. We recommend that you and your partner (s) draft and sign a partnership. Business owners may be very creative when creating their business’s name. Web limited liability partnership (form 701) commentary: Customize your partnership agreement today. Therefore, it is easy to create a general partnership inadvertently. Web here is an outline of the steps you need to follow in order to form a partnership in texas. Research and preparation before starting a limited partnership in texas, you must familiarize yourself with this business structure’s laws and regulations. Keep your llc compliant w/ a registered agent, operating agreement, and business licenses.
However, before signing, please read the statements on this form. Draft and sign a partnership agreement partnership agreements are not necessarily legal requirements for establishing partnerships in texas but remain a key step to ensuring. Customize your partnership agreement today. This form must be completed and submitted, along with a $750 formation fee, to the texas secretary of state. Ad answer simple questions to make a partnership agreement on any device in minutes. Web to create a general partnership in texas, you must follow the guidelines below: According to texas law, a limited partnership name must: We recommend that you and your partner (s) draft and sign a partnership. Once you have a business idea and have decided to operate as a general partnership,. Business owners may be very creative when creating their business’s name.
Web to register, you will need to complete an application form provided by your local office of social services. Online filing of the registration and other required forms is provided through sosdirect. Once you have a business idea and have decided to operate as a general partnership,. Read section 152.802 of the texas business organizations code relating to the registration of limited liability partnerships. For a limited partnership, any general partner may sign. Web step one) choose an lp name whereas the state of texas allows general partnerships to operate under the individual names of the partners, that is not the case for limited partnerships, which must have a distinct business name. Legally binding, free to save & print. Ad answer simple questions to make a partnership agreement on any device in minutes. The official name of your new llp the llp's federal employer identification number (ein) if already obtained the number of general partners at the time of registration the llp's principal office address a statement of the partnership's business, and an effective date for the filing. Each section is called an “article.”.
Affidavit of Domestic Partnership Form Fill Out and Sign Printable
In a limited partnership, there will be one or more general partners and one or more limited partners. Forming a texas general partnership 2. The registration need not be notarized. Web limited liability partnership (form 701) commentary: According to texas law, a limited partnership name must:
Domestic Partnership Affidavit Template Master Template
Web in texas, you do not need to file documents with the state to form a partnership in texas. Some states also require you to show proof of identity when you register. However, before signing, please read the statements on this form. We recommend that you and your partner (s) draft and sign a partnership. Before attempting to file your.
Affidavit Of Domestic Partnership Fill Online, Printable, Fillable
Each section is called an “article.”. Get help instantly by phone or a live chat. For more information, reference the notice evv portal and training updates for the evv proprietary system request form effective july 13, 2023 on the tmhp evv webpage. Also, you do not need a written agreement for a general partnership. Online filing of the registration and.
11+ Business Partnership Agreement Templates Word, PDF Apple Pages
Get help instantly by phone or a live chat. Once you have a business idea and have decided to operate as a general partnership,. Ad answer simple questions to make a partnership agreement on any device in minutes. If you form a partnership, you are personally liable for all partnership expenses. Ad free partnership agreement in minutes.
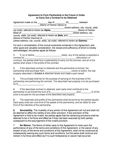
Texas Agreement to Form Partnership in the Future in Order to Carry Out
Web the definition of a partnership under the current law is an association of two or more persons to carry on a business for profit as owners creates a partnership, regardless of whether: Web an assumed name certificate is the form to register a business name in texas, and the filing fee will generally be between $10 to $15, depending.
Free Partnership Agreement Form Pdf Nz Form Resume Examples p12O8Eokr8
Web limited liability partnership (form 701) commentary: Web contents step 1: Be unique among business names in texas. According to texas law, a limited partnership name must: Easily customize your partnership agreement.
Domestic Partnership in Texas Vaught Law Firm
The web form promulgated by the secretary of state is designed to meet minimum statutory filing requirements and no warranty is made regarding. There are four specific sections on this form. Web to create a general partnership in texas, you must follow the guidelines below: You will then have to pay a fee to register. Web however, like a general.
Printable Domestic Partner Forms Fill Online, Printable, Fillable
Ad answer simple questions to make a partnership agreement on any device in minutes. For more information, reference the notice evv portal and training updates for the evv proprietary system request form effective july 13, 2023 on the tmhp evv webpage. You will then have to pay a fee to register. Web in texas, you do not need to file.
Affidavit Format Domestic Violence Form Resume Examples EpDL0LeDxR
Web the definition of a partnership under the current law is an association of two or more persons to carry on a business for profit as owners creates a partnership, regardless of whether: For more information, reference the notice evv portal and training updates for the evv proprietary system request form effective july 13, 2023 on the tmhp evv webpage..
Web The Boc Provides That In Order To Form A Limited Partnership, The Partners Must Enter Into A Partnership Agreement And File The Certificate Of Formation With The Secretary Of State.
Easily customize your partnership agreement. The web form promulgated by the secretary of state is designed to meet minimum statutory filing requirements and no warranty is made regarding. First, you need to choose a name for your limited partnership. Business owners may be very creative when creating their business’s name.
Some States Also Require You To Show Proof Of Identity When You Register.
Keep your llc compliant w/ a registered agent, operating agreement, and business licenses. In a limited partnership, there will be one or more general partners and one or more limited partners. This form must be completed and submitted, along with a $750 formation fee, to the texas secretary of state. Get help instantly by phone or a live chat.
Customize Your Partnership Agreement Today.
Web the formation document to start a limited partnership in texas is called the certificate of formation. In accordance with title 4, chapter 152, subchapter j of the texas business organizations code (boc), a general partnership or limited partnership may register with the secretary of state as a limited liability partnership. a partner's liability in a limited liability partnership differs. Read section 152.802 of the texas business organizations code relating to the registration of limited liability partnerships. Build custom forms to save & print.
Web The Definition Of A Partnership Under The Current Law Is An Association Of Two Or More Persons To Carry On A Business For Profit As Owners Creates A Partnership, Regardless Of Whether:
Easily customize your partnership agreement. According to texas law, a limited partnership name must: You will then have to pay a fee to register. Online filing of the registration and other required forms is provided through sosdirect.









