Determine Whether The Following Sets Form Subspaces Of :
Determine Whether The Following Sets Form Subspaces Of : - Web determine whether the sets are subspaces of r2 or r?. Let w ⊆ v for a vector space v and suppose w = span{→v1, →v2, ⋯, →vn}. Determine whether the following sets form subspaces of ℝ³: You'll get a detailed solution from a. Spans are subspaces and subspaces are spans definition 2.6.3: Learn to write a given subspace as a column space or null. Show that c is a vector space with these. Web solution common types of subspaces theorem 2.6.1: (1) x1 x2 x1 + x2 = 0 x1 (2) x2 x1x2 = 0 (3) x1 x2 x1 + x2 = 1 (4) x1 x2 x2 + x2 = 1 solution:. Determine whether the following sets are subspaces of r2.
Web define addition on c by (a + bi) + (c + di) = (a + c) + (b + d)i and define scalar multiplication by α (a + bi) = αa + αbi for all real numbers α. Web learn to determine whether or not a subset is a subspace. Column space and null space. You'll get a detailed solution from a subject matter expert that helps you learn core concepts. Web this problem has been solved! Web determine whether the following sets are subspaces of r^3 r3 under the operations of addition and scalar multiplication defined on r^3. Web determine whether the sets are subspaces of r2 or r?. Determine whether the following sets are subspaces of r2. Determine whether the following sets form subspaces of ℝ³: Web determine whether the following sets form subspaces of r3.
Show that c is a vector space with these. Web determine whether the following sets form subspaces of r2.(a) {(x1,x2)t|x1 + x2 = 0}(b) {(x1,x2)t|x21 = x22} this problem has been solved! Enter each vector in the. Web determine whether the following sets form subspaces of r3. Web determine whether the following sets are subspaces of. Determine whether the following sets form subspaces of ℝ²: Web learn to determine whether or not a subset is a subspace. You'll get a detailed solution from a. Under the operations of addition and scalar multiplication defined on. Learn to write a given subspace as a column space or null.
Solved 2. Determine whether the following sets form
If a set is a subspace, give a basis and its dimension. Show that c is a vector space with these. Web solution common types of subspaces theorem 2.6.1: Determine whether the following sets are subspaces of r2. Web determine whether the following sets form subspaces of r2.(a) {(x1,x2)t|x1 + x2 = 0}(b) {(x1,x2)t|x21 = x22} this problem has been.
Solved Exercise 5.2.1 Spanning sets and subspaces. About
Let u ⊆ v be a subspace such that →v1, →v2, ⋯, →vn. Web learn to determine whether or not a subset is a subspace. { (x1,x2)t | x1 + x2 = 0} { (x1,x2)t | x1x2 = 0} { (x1,x2)t | x1 = 3x2} { (x1,x2)t | | x1| = |x2|} { (x1,x2)t | = }. Give the geometrical.
Question 2. 20 marks Determine whether the following sets form
Web determine whether the sets are subspaces of r'. Web determine whether the sets are subspaces of r2 or r?. Web learn to determine whether or not a subset is a subspace. Spans are subspaces and subspaces are spans definition 2.6.3: Determine whether the following sets form subspaces of ℝ³:
Question 2. 20 marks Determine whether the following sets form
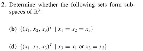
(if the set is not a subspace, enter na.) (a) (a,0) this. You'll get a detailed solution from a. (a) { (x1,x2,x3)t|x1+x3=1} (b) { (x1,x2,x3)t|x1=x2=x3} (c) { (x1,x2,x3)t|x3=x1+x2} (d) { (x1,x2,x3)t|x3=x1orx3=x2}. Web • ( 76 votes) upvote flag jmas5.7k 10 years ago there are i believe twelve axioms or so of a 'field'; Show that c is a vector space.
Solved HW 15 Sec 4.3 Problem 18 Previous Problem List Next
Enter each vector in the. Learn the most important examples of subspaces. Web • ( 76 votes) upvote flag jmas5.7k 10 years ago there are i believe twelve axioms or so of a 'field'; Web this problem has been solved! (if the set is not a subspace, enter na.) (a) (a,0) this.
Solved 5. Determine whether the sets defined by the
But in the case of a vectorial subspace (linear subspace, as referred to here),. R 3 r^3 r 3. (1) x1 x2 x1 + x2 = 0 x1 (2) x2 x1x2 = 0 (3) x1 x2 x1 + x2 = 1 (4) x1 x2 x2 + x2 = 1 solution:. Web learn to determine whether or not a subset is.
Solved Al. For each of the following sets of vectors,
R 3 r^3 r 3. You'll get a detailed solution from a subject matter expert that helps you learn core concepts. Web determine whether the sets are subspaces of r2 or r?. Learn to write a given subspace as a column space or null. (1) x1 x2 x1 + x2 = 0 x1 (2) x2 x1x2 = 0 (3) x1.
4. Determine whether the following are subspaces of P4Recall that P is
Web this problem has been solved! Enter each vector in the. Web learn to determine whether or not a subset is a subspace. If a set is a subspace, give a basis and its dimension. (1) x1 x2 x1 + x2 = 0 x1 (2) x2 x1x2 = 0 (3) x1 x2 x1 + x2 = 1 (4) x1 x2.
Solved 5. Determine whether the following are subspaces of
Web • ( 76 votes) upvote flag jmas5.7k 10 years ago there are i believe twelve axioms or so of a 'field'; { (x1,x2)t | x1 + x2 = 0} { (x1,x2)t | x1x2 = 0} { (x1,x2)t | x1 = 3x2} { (x1,x2)t | | x1| = |x2|} { (x1,x2)t | = }. Web determine whether the following sets.
Question 2. 20 marks Determine whether the following sets form
You'll get a detailed solution from a subject matter expert that helps you learn core concepts. Learn the most important examples of subspaces. Under the operations of addition and scalar multiplication defined on. Web learn to determine whether or not a subset is a subspace. Determine whether the following sets are subspaces of r2.
{ (X1,X2)T | X1 + X2 = 0} { (X1,X2)T | X1X2 = 0} { (X1,X2)T | X1 = 3X2} { (X1,X2)T | | X1| = |X2|} { (X1,X2)T | = }.
You'll get a detailed solution from a subject matter expert that helps you learn core concepts. But in the case of a vectorial subspace (linear subspace, as referred to here),. (a) { (x1,x2,x3)t|x1+x3=1} (b) { (x1,x2,x3)t|x1=x2=x3} (c) { (x1,x2,x3)t|x3=x1+x2} (d) { (x1,x2,x3)t|x3=x1orx3=x2}. R 3 r^3 r 3.
Learn The Most Important Examples Of Subspaces.
Web determine whether the following sets form subspaces of r2.(a) {(x1,x2)t|x1 + x2 = 0}(b) {(x1,x2)t|x21 = x22} this problem has been solved! Web determine whether the following sets form subspaces of r3. Web determine whether the sets are subspaces of r'. You'll get a detailed solution from a.
Give The Geometrical Interpretation Of Each Subspace.
Web this problem has been solved! Column space and null space. (if the set is not a subspace, enter na.) (a) (a,0) this. Learn to write a given subspace as a column space or null.
Enter Each Vector In The.
Web solution common types of subspaces theorem 2.6.1: Determine whether the following sets are subspaces of r2. Web determine whether the following sets are subspaces of r^3 r3 under the operations of addition and scalar multiplication defined on r^3. Spans are subspaces and subspaces are spans definition 2.6.3:







